Задачи охлаждения, решаемые радиатором светодиодного светильника.
Светодиодные источники света в рабочем режиме выделяют много тепла, поэтому для них необходимо эффективное охлаждение, без которого может произойти их перегрев и выход из строя. Кроме того, с ростом температуры, снижается световой поток, излучаемый светодиодным источником света. Например, светодиодная матрица СХА2540 (Х2) при токе 1.1А и температуре 25°С излучает световой поток 6244 люмен, а при температуре 85°С и том же токе - 5590 люмен (1). Для охлаждения светодиодных источников света в светильниках в большинстве случаев применяют алюминиевые радиаторы, рассчитанные на естественную конвекцию. Такие радиаторы решают две основные задачи охлаждения – отвод тепла от светодиодного источника света и рассеивание отведённого тепла в окружающий воздух.
Задача рассеивания отведённого от светодиодного источника света тепла в окружающий воздух решается поверхностью радиатора благодаря конвекции и излучению. Интенсивность конвекции и излучения возрастают с ростом температуры, благодаря чему, при постоянной мощности теплового потока от светодиодного источника света, радиатор нагревается лишь до установившейся температуры, при которой суммарная мощность конвекции и излучения сравнивается с мощностью теплового потока, поступающего в радиатор от светодиодного источника света. Интенсивность конвекции и излучения пропорциональны площади радиатора, участвующей в теплообмене - поверхности теплообмена, поэтому установившуюся температуру радиатора можно снизить увеличением поверхности теплообмена. Зависимости установившейся температуры радиаторов от площади поверхности теплообмена и мощности поступающего в них теплового потока исследованы и опубликованы в многочисленных справочниках в виде таблиц или номограмм, например, как на рис.1 (3).

Следует отметить, что площадь поверхности теплообмена радиатора всегда меньше всей площади его поверхности. Попытки увеличения поверхности теплообмена развитием поверхности радиатора при помощи рёбер или штырей из-за густоты воздуха далеко не всегда приводит к положительному результату. Приближённую оценку площади поверхности теплообмена можно получить, применив принцип «обтянутой площади», описанный в (2).
Принцип «обтянутой площади» следует применять только к радиаторам, для которых решена задача отвода тепла от светодиодного источника света ко всей поверхности теплообмена. Рис. 2 иллюстрирует случай охлаждения светодиодной матрицы при помощи алюминиевой пластины, когда эта задача не решена.
Конвекция и излучение осуществляются только с нагретого участка пластины и с поверхности светодиодной матрицы, поэтому площадь поверхности теплообмена составляет меньше трети площади поверхности пластины. Локальный нагрев объясняется недостаточной теплопроводностью пластины, когда мощность теплового потока от светодиодного источника света вдоль пластины намного меньше, чем суммарные мощности конвекции и излучения с небольшого участка поверхности пластины на участке ∆L-рис.2. Недостаточная теплопроводность пластины может быть из-за её малой толщины. Рассмотренный случай можно проанализировать, применив одномерное уравнение теплопроводности (4):

где P – мощность теплового потока, ∆T – разность температур на концах теплопровода L, k – коэффициент теплопроводности материала, S – площадь теплопроводящего сечения, L– длина теплового потока. Для теплового потока вдоль пластины площадь теплопроводящего сечения S равна произведению толщины пластины на ширину. При включении светодиодного источника света происходит нагрев пластины под ним, при этом разница температур ∆T между нагретым участком и противоположным концом приводит к появлению теплового потока мощностью P, направленного на выравнивание температур. При низкой теплопроводности пластины мощность теплового потока меньше, чем мощность излучения и конвекции с участка, обозначенного как ∆L на рис.2. Температура пластины на участке ∆L в направлении от светодиодной матрицы из-за конвекции и излучения быстро уменьшается до температуры окружающей среды. Конвекция и излучение происходят только с нагретого участка, поэтому установившаяся температура светодиодного источника света выше, чем могла бы быть при конвекции и излучении со всей поверхности пластины. Повышение установившейся температуры объясняется тем, что равенство мощностей теплового потока от светодиодного источника света и суммарной мощностью конвекции и излучения наступают при более высокой температуре. Для снижения температуры светодиодной матрицы необходимо увеличить толщину пластины для увеличения её теплопроводности. Увеличение толщины пластины приведёт к расширению участка ∆L. После того, как размер ∆L сравняется с размером L, дальнейшее увеличение толщины приведёт к уменьшению градиента температуры вдоль пластины. В идеальном случае температура пластины равномерна и равна температуре теплоотвода светодиодной матрицы, установившаяся температура минимальна.
По аналогии с пластиной, увеличение толщины теплопроводящего материала любого радиатора приведёт к улучшению охлаждения светодиодного источника света, вместе с тем, неоправданное увеличение толщины радиатора увеличит его стоимость и массу.
Оптимальная толщина радиатора светодиодного светильника.
Решение, позволяющее определить оптимальную толщину радиатора, найдено компанией Сетилюмен, подана заявка на изобретение «светодиодный светильник и способ охлаждения светодиодного источника света». Суть способа в создании условий для отвода тепла, при которых отвод тепла от светодиодного источника света к поверхности теплообмена радиатора осуществляют через теплопровод с изотермическими теплопроводящими сечениями равными или большими площади теплоотвода светодиодного источника света.
Для пояснения способа отвода тепла рассмотрим пример, когда светодиодный источник света установлен в центре алюминиевого радиатора, выполненного в виде круглой пластины - рис.3. На рис.3 вверху - общий вид, внизу фрагмент радиатора и светодиодного источника света в увеличенном виде в разрезе. Справа на рис.3 увеличенное изображение светодиодного источника света, штриховкой под ним показано условное теплопроводящее сечение пластины радиатора по периметру теплоотвода светодиодного источника света (далее - теплоотвода) - SP. Позиция 1 обозначает теплоотвод, позиция, 2 – пластину радиатора. Красными стрелками условно показано направление тепловых потоков от теплоотвода. Пунктирные линии 3 обозначают периметр теплоотвода.

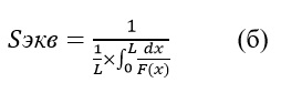
Тепловой поток от теплоотвода к поверхности теплообмена радиатора, если между ними есть разница температур, осуществляется через теплопровод, образованный теплопроводящим материалом радиатора. В отличие от примера с плоской пластиной (рис.2), одномерное уравнение теплопроводности (а) для расчётов тепловых процессов в данном случае неприемлемо, так как теплопровод в радиаторе представляет собой теплопроводящее тело с переменными сечениями разной формы. Методика расчёта тепловых процессов в теплопроводящем теле с переменными сечениями разной формы известна и рассмотрена в (5). Рассмотрение, приведенное в (5), называется теоремой Гарвина. Теорема Гарвина доказывает, что при одинаковой теплопроводности материала и длины теплового потока теплопроводность тела с переменным сечением не зависит от формы тела и эквивалентна теплопроводности тела с эквивалентным постоянным сечением, равным:

Таким образом, для анализа тепловых процессов в радиаторе рис.3, при известных сечениях, применимо одномерное уравнение теплопроводности (а) при условии замены анализируемого теплопровода эквивалентным с сечением Sэкв.
Тепловой поток от теплоотвода 1 (рис.3) к поверхности теплообмена радиатора осуществляется через теплопровод, ограниченный теплоотводом с сечением ST и теплопроводящим сечением в пластине радиатора по периметру теплоотвода SP – рис.3. Площадь сечения SP равна произведению периметра теплоотвода и толщины пластины радиатора, оно является меньшим из теплопроводящих сечений между теплоотводом и поверхностью теплообмена радиатора. При площади сечения SP меньшей, чем площадь теплоотвода ST, эквивалентное сечение ограниченного ими теплопровода Sэкв согласно выражению (б) станет меньше площади теплоотвода ST, что равносильно сокращению площади теплоотвода.
Площадь теплоотвода светодиодного источника света определяется на этапе конструирования исходя из плотности теплового потока (отношение мощности теплового потока к площади теплоотвода), требований к температуре кристаллов светодиодов и ряда других параметров. Отвод тепла от светодиодного источника света, при котором создаются условия, аналогичные уменьшению его площади теплоотвода, как правило, приводят к перегреву светодиодного источника света.
Для выяснения последствий, к которым может привести сокращение сечения теплопровода, перепишем одномерное уравнение теплопроводности (а) относительно разности температур на концах теплопровода:
В выражении (в) длина теплового потока L, равная длине теплопровода и коэффициент теплопроводности k постоянные величины, следовательно, разница температур ∆T на концах теплопровода зависит только от мощности теплового потока P и площади сечения теплопровода S. Анализируя выражение (в), легко понять, что разница температур ∆T на концах теплопровода имеет гиперболическую зависимость от площади его сечения S, так как, величина S находится в знаменателе. При гиперболической зависимости небольшое сокращение площади сечения может привести к резкому возрастанию разницы температур на концах теплопровода.

Для иллюстрации вышеизложенного согласно выражению (в) построен график рис.4, иллюстрирующий зависимость разницы температур ∆T от площади сечения S на концах условного алюминиевого теплопровода с длиной теплового потока 0,02 м (2 см) и коэффициентом теплопроводности материала 200 Вт/(м*К), применённого для отвода тепла от светодиодной матрицы типа CXA2540 с площадью теплоотвода SТ = 6,25*10-4 м (6,25 см2) при мощностях теплового потока 30, 70 и 100 ватт. Площадь SТ по оси абсцисс соответствует площади теплоотвода, SТ=6,25*10-4 м (6,25 см2). Очевидно, что уменьшение сечения теплопровода до меньших, чем площадь теплоотвода SТ значений, приводит к существенному повышению разницы температур на концах теплопровода, в то же время, увеличение сечения свыше площади теплопровода не приводит к существенному снижению разницы температур. Уменьшение сечения теплопровода при постоянной мощности теплового потока означает увеличение через него плотности теплового потока, таким образом, для алюминиевых теплопроводов существуют критические плотности тепловых потоков, превышение которых приводит к быстрому росту разницы температур на их концах. Плотность тепловых потоков в теплоотводах светодиодных источниках света, особенно при максимальной мощности, близка к критическим для алюминиевых теплопроводов. Поэтому при выборе сечения теплопровода для отвода тепла от светодиодного источника света будет правильно ориентироваться на площадь теплоотвода, определённую на этапе конструирования.
Возвращаясь к радиатору рис.3, справедливо утверждать, что для уменьшения разницы температур между теплоотводом и поверхностью теплообмена необходимо, чтобы минимальное сечение теплопровода SP было больше или равно площади теплоотвода ST. Площадь сечения SP зависит от толщины пластины радиатора и определяется как частное от деления площади теплоотвода на его периметр. Применительно к светодиодной матрице CXA2540 с квадратным теплоотводом с длиной стороны 25 мм толщина пластины радиатора не должна быть менее 6.25 мм.
Очевидно, что радиатор из такой толстой пластины выйдет неоправданно дорогим и тяжелым. Снизить толщину пластины радиатора позволяет применение так называемого теплоотводящего основания (6) - позиция 4 на рис.5, увеличивающего общую толщину теплопроводящего материала под светодиодным источником света. Позиция 5 обозначает теплопроводящее сечение в пластине радиатора по периметру теплоотводящего основания.
Толщина теплоотводящего основания выбирается так, чтобы их общая толщина с пластиной радиатора была равна или больше отношения площади теплоотвода к его периметру. Теплоотводящее основание может находиться как между радиатором и светодиодным источником света, так и под радиатором. На выходе теплового потока за периметр теплоотводящего основания определяется теплопроводящее сечение поз.5 на рис.5, площадь которого может быть меньше, чем площадь теплоотвода, что может привести к повышенному нагреву теплоотвода вместе с теплоотводящим основанием и контактирующей с ней частью радиатора при относительно холодной остальной части радиатора. Чтобы этого не случилось, периметр теплоотводящего основания должен быть больше, чем отношение площади теплоотвода к толщине пластины радиатора. Теплоотводящее основание может иметь любую форму, например, для вытянутого радиатора теплоотводящее основание может представлять собой теплопроводную шину.
Наибольшую эффективность имеет равномерно прогретый радиатор. Разность температур между различными фрагментами поверхности теплообмена вычисляется исходя из закона теплопроводности Фурье (4):
grad T = - g/k (г)
где – g вектор плотности теплового потока, k – коэффициент теплопроводности. Плотность теплового потока в радиаторе после минимальных сечений (SP рис.3 или позиция 5 рис.5) постепенно уменьшается, так как часть теплового потока расходуется на конвекцию и излучение, также возрастают площади теплопроводящих сечений. Может показаться, что толщину пластины радиатора на его краях можно сократить пропорционально тепловому потоку, применив например, ещё одно теплоотводящее основание, однако избыточная толщина пластины создаёт ряд преимуществ. Уменьшение плотности теплового потока согласно зависимости (г) приводит к уменьшению разности температур между фрагментами поверхности теплообмена, т.е., равномерному прогреву пластины радиатора, благодаря чему конвекция и излучение происходит со всей, контактирующей с воздухом поверхности. Таким образом, кажущаяся избыточность толщины пластины радиатора на краях с избытком компенсируется его равномерным прогревом. Применительно к уравнению теплопроводности (в), избыточная толщина пластины радиатора аналогична сокращению длины теплового потока L между теплоотводом и поверхностью теплообмена.

С применением вышеизложенных методов спроектирован радиатор для светодиодного светильника, проиллюстрированный на рис.6. Радиатор состоит из алюминиевой пластины радиатора 2 и теплоотводящего основания 4. В качестве светодиодного источника света 1 используется светодиодная матрица SDW05F1C с квадратным алюминиевым теплоотводом размерами 28х28 мм, площадью теплоотвода 784 мм2 , длиной периметра 112 мм. Суммарная толщина теплоотводящего основания и радиатора, согласно расчётам, должна быть не менее 7 мм (784/112). Толщина теплоотводящего основания выбрана 4 мм, толщина пластины радиатора 3 мм. Периметр теплоотводящего основания при толщине пластины радиатора 3 мм должен быть не менее 261,3 мм, он увеличен до 550 мм из-за соображений удобства крепления линзы (позиция на рис.5, показана в разрезе), формирующий световой поток светильника. При таком периметре теплоотводящего основания толщина пластины радиатора может быть уменьшена (при соответствующем увеличении толщины пластины теплоотводящего основания) до 1,43 мм. Уменьшение толщины пластины радиатора признано нецелесообразным из соображений прочности. Теплоотводящее основание и пластина радиатора имеют прямоугольные формы, что обусловлено уменьшением отходов при их резке их листового алюминия. Углы пластины радиатора загнуты внутрь для объёмного внешнего вида и защиты линзы в упаковке при транспортировании светильника. При токе через матрицу 1А после прогрева светильника при температуре окружающей среды 25°С температура пластины радиатора непосредственно под светодиодной матрицей составляет 42°С, температура края радиатора 38°С. Температура теплоотвода в его контрольной точке 49°С. Указанные температуры измерены на радиаторе, окрашенном методом порошковой окраски. Без окраски температура радиатора выше на 7-10 градусов ввиду малой излучательной способности алюминия.
Влияние краски на температуру радиатора.
Излучательная способность алюминия в инфракрасном диапазоне составляет 0.02 – 0.2, излучательные способности порошковой и масляной красок – 0.95 (относительно излучения абсолютно чёрного тела (4)), поэтому окраска алюминиевых радиаторов желательна. В тоже время, теплопроводность краски более чем в 1000 раз меньше теплопроводности алюминия, что несколько повышает температуру радиатора под слоем краски, так он оказывается в своеобразной «шубе». Определить, на сколько повышается температура радиатора после покраски (без учета роста излучения), позволяет одномерное уравнение теплопроводности (в).
На рис.7 показан условный фрагмент радиатора площадью ∆S. Позиция 2 обозначает часть алюминиевой пластины радиатора, позиция 6 – слой краски, стрелкой показано направление теплового потока P. Примем для расчёта, что алюминиевый радиатор с площадью поверхности теплообмена 800 см2 рассеивает тепловой поток мощностью 40 ватт, при этом на 1 см2 (0.0001 м2) его поверхности рассеивается тепловой поток P мощностью 0.05 ватт. Радиатор покрыт слоем краски толщиной L=0.2 мм (0.0002 м), теплопроводность краски k = 0,2 Вт/м*К.

Разница температур ∆Т на слое краски определяется как:
Таким образом, тонкий слой краски приводит к незначительному повышению температуры радиатора, окраска алюминиевого радиатора приводит к существенному понижению температуры радиатора из-за возрастания излучения с его поверхности. Например, для радиатора, изображенного на рис. 6 падение температуры после покраски составило не менее 15%.
Выводы.
Предложенный способа охлаждения позволяет получить минимальную температуру светодиодного источника света благодаря эффективному отводу тепла и оптимальному использованию поверхности теплообмена радиатора. Способ применим для радиаторов любых форм и размеров. Алюминиевые радиаторы необходимо окрашивать для снижения температуры за счёт повышения излучательной способности их поверхности.
Ссылки:
2. Антон Шаракшанэ. Журнал «Полупроводниковая светотехника» №3 за 2013г
4. Б.М. Яворский, А.А. Дедлаф «Справочник по физике» М, НАУКА, ФИЗМАТЛИТ, 1996г.
5. МИФИ. Лекция для студентов групп Т9-70Б, Е9-02 №3 «Расчет теплового потока в случае переменного сечения. Теорема Гарвина.»
6. Ю.Н. Рубан «Светильник светодиодный». Описание изобретения к патенту RU2511564C1 опубл. 10.04.2014.
Автор статьи - Титков Сергей, генеральный директор ООО «Сетилюмен»